收藏本站 劰载中...网站公告 | 吾爱海洋论坛交流QQ群:835383472

触碰海的温度,寻觅海的故事:CTD及其他测温仪器介绍

[复制链接]
CTD

海水温度是海洋学的重要物理量,反映海水的热力状态,是海洋物理特性的基本要素。其测量对于理解海洋运作、气候变化和生态系统动态至关重要。海水温度受多种因素影响,研究其时空分布及变化规律在海洋学中具有核心地位,对海上捕捞、水产养殖、海上作战等应用领域意义深远。此外,海水温度对气象学、航海学和水声学等学科也有重要意义。为精确测量海水温度,需专业仪器适配不同应用场景。技术的进步提供了更多先进的测量工具和方法,有力推动海水温度研究。总之,海水温度研究价值重大,有助于推动海洋科学发展、保障国家安全和促进经济发展。

2c6cb684fc9663a8ee110c6b03497f3b.png
' ?+ y% t9 ~, n, ?2 D+ k: D2 U. \+ ?5 s) [) S4 L
78fe8d0b4f8c6003e9e9b6d5e3becc38.png
温度观测仪器的发展历史

5 j" B& t6 D, Z" h

8 \3 f* N* C9 F8 {, H4 J( y

早期温度的测量主要依靠液体温度计与机械式温度计,液体温度计的代表是表层温度计和颠倒温度计。盐度此时只能在采集水样后在实验室分析测量,典型代表是实验室盐度计。

后来随着热敏电阻的普及,电子式温盐深测量仪开始普及,包括常规的STD或CTD,以及适用于走航观测的抛弃式温深仪(XBT)。

此外,空中遥感则可利用红外辐射温度计观测海水表面温度。

   
& ~- G6 [$ C* v- }6 U3 a# Z
7 Z- @' P/ D! }; F0 }% P; \
几种常见的温度观测仪器

3 J( q3 N1 C0 ]
9 L0 V7 L' \2 p$ g/ U, B# z- I
1、表层温度计
·原理:将一个普通温度计放在一个金属外壳内,外壳保护易损的水银温度计并储存海水。
·特点:表层温度计易于操作,可以测量单点的海水温度,但局限在表层,且测量精度较低。
·应用:航空、航天、能源、化工、纺织等需要测量表面温度的科研和生产。
9 t! h$ G, z& }. u: I
2765e8df94b707301f15e7ea154123a7.png 9 U  \; b* a/ p6 O/ n. x
图1.表层温度计

2.颠倒温度计

·原理:采用主副双支结构,副温度计用于校准主温度计的读数。主温度计由贮蓄泡、盲枝、圆环、直毛细管和接收泡等部分组成,其中盲枝是其核心部分。使用时,温度计安装在颠倒采水器上。当采水器下放时,贮蓄泡内的水银会随外界海温变化而膨胀或收缩。水银通过盲枝进入读数显示的直毛细管内。到达指定深度后,停留一段时间完成感温测量。之后,通过甲板释放装置使锤击打颠倒采水器开关,采水器旋转180°,颠倒温度计由正立变为倒置。这时,水银柱在“盲枝”处断开,贮蓄泡中的水银无法进入直毛细管内,从而确保温度计的读数为该深度的真实海水温度。提至甲板后,即可读取该深度海水的真实温度。

·特点:具有高精度、使用寿命长,能够观测不同深度的海水温度等优点,但在实际应用中,只能测量局部温度、、读数困难,使得其已经逐渐被其他温度计所取代。

·应用:测量海洋或湖泊表层以下各水层的温度。

917b6f791473f9b5997745ed69d0e1e7.png
图2.颠倒温度计
32b51ae32089564251caf1fff94da637.png
图3.颠倒温度计结构与原理
9148cccfcb9c17fba13241c637c7c87e.png
图4.颠倒温度计使用方法
/ X2 A! w& ?/ P; W0 _+ y! h; @- p
3.深度温度计
·原理:其感温元件为充满液体的金属弹簧细管,当海水温度变化时,细管自由臂端的针尖或笔会在特制记录片上移动,从而记录温度随深度的变化曲线。
·特点:机械式深度温度计测量精度高,能够实时连续记录海水温度的垂向剖面曲线,便于观察温跃层等现象。但由于其分辨率较低,主要用于100-300米深度的海水剖面测量,且需频繁校准。
·应用:广泛应用于水体生态学、气象学、海洋学、水产养殖等领域。

& [" Y$ x& J7 c% v$ ]6 U& K
0beca65ca098fe29e501864e659f5017.png
图5.深层温度计

7 z1 W# [7 `* S2 n% }
4.XBT抛弃式温度计(eXpendable Bathy Thermograph)
·原理:一次性使用的温度观测仪器,适用于航行状态下的观测平台。由探头、信号传输线和接收系统组成,探头感应温度并通过导线输入接收系统,结合下沉速度获取温度随深度的变化数据。
·分类:
24ce58f9b73a912464b23f00074773d9.png
图6.XBT的分类
·工作方式:
2aefb06301ced322a78503cc9ea7901a.png
图7.抛弃式CTD工作方式介绍表图
·特点:实时、快速、高效且低成本,然而,精度不足及故障率高的问题需要特别注意。同时,对传输导线的严格要求也可能引发信号异常的风险。尽管如此,其操作简便、经济快捷的优势仍使其在海洋科学研究中占据重要地 位 [1]。
·应用:海洋调查、科学研究和海洋环境安全保障中需要大面积海域温盐剖面数据的观测。
d4185803514765397101aaea217b3656.png
图8.XBT示例

国内XBT的发展:国内投弃式海洋仪器设备研究始于上世纪80年代,经过多年的努力,基本掌握了XBT 的设计技术和制造工艺,国家海洋技术中心、中科院声学所东海站、西安天和防务公司等单位已经实现XBT产业化生产。同时,国家海洋技术中心、山东省科学院海洋仪器仪表研究所等多家单位已经展开XCP、机载、潜艇载系列设备研究,但是由于浮筒动态数传技术、绕线工艺、信号处理技术等关键技术尚未突破,研究进展缓慢。

   
8 G8 J% R& x* o' n4 S* l3 ]: c% x2 H) X0 y: _
CTD温盐深测量系统介绍
! h! Q. i$ D' ^8 ]  v

几种不同的CTD:

(1)大型剖面CTD

9802b9819b21a730df4218b9d2ccd43f.png
图9.大型剖面CTD示例图

SEB 911(Sea-Bird 911 plus CTD)温盐深探测系统是由美国Sea-Bird 公司生产的,目前世界上最先进的海洋水文调查仪器之一。系统包括水下单元(SBE 9plus)、甲板单元(SBE 11plus)和采水系统(CAROUSEL WATER SAMPLER)三部分。

259a4f71d16e8d190a00db52f4300a36.png
图10.大型剖面CTD工作示例图

(2)小型自容CTD

4e8454220d525ba5b58cc1a21a99de92.png
图11.小型自容CTD:SBE 37
59ca6614a9578e6aa36d4de84f30dda5.png
图12.小型自容CTD:RBR concerto

(3)自沉浮式CTD剖面浮标

4d5ec414c15eb4580ca815017b60780a.png
图13.自沉浮式CTD剖面浮标:SBE Navis Argo

(4)走航船载CTD

fc1f5f62c134db45d25a3358fb22be03.png
图14.走航船载CTD:SBE 21船用温盐计
- P0 V$ Y6 v( L3 m  F5 C6 F- j

(5)抛弃式CTD

e98f2541e397e1ad96fec6e013451af7.png
图15.抛弃式CTD:TSK XCTD
·原理:环境参数的变化会导致传感器电阻或电压等参数的变化。通过建立这些参数与环境参量之间的对应关系,经过数学运算,可以获取所需的环境参量值。对于温度和压力的测量,传感器探头可以直接获取相关数据;而对于盐度,由于无法直接观测,通常通过电导池测量电导率,并结合温度和压力数据进行计算得出[2]。
·特点:作为一种高性能的海洋测量设备,能精确测量海水温度、盐度和深度等参数。其数据存储方式灵活,可保存在内部存储卡或实时传输到水上单元。CTD是当前使用最广泛、精度最高、性能稳定的温盐深仪器,采样频率高,观测连续。它还适应多种观测方式,重量轻,准确度高,可在深海稳定工作。然而,CTD成本较高,操作复杂,数据处理难度大。·分类:根据工作模式,CTD可以分为自容式和直读式两种。直读式CTD测量频率高、准确度高,但系统较为复杂,需要大型设备如绞车、供电设备等。自容式CTD则轻巧、便于携带,但测量频率较低,准确度可能稍低。例如,SBE911属于直读式,而SBE37和RBRconcerto则为自容式[3]。
c8d3531d54424c165d6f6f8847ea4b48.png 9df4c856d55af6b56e494c010d81a135.png 64569558a6ac9723fdb25db57ab75b32.gif   , P4 R; }: f1 z( c5 k

  g) \4 n$ Y# w% N1 @
利用CTD的研究成果
9 L1 N5 g& n. y5 H0 a

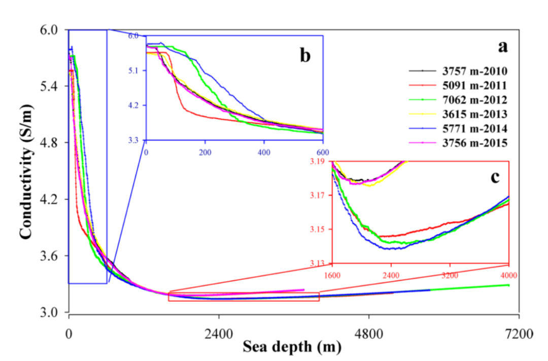
成果1:《海水电导率的三级垂直分布》

fa07b59f225517c3716a8acb7da0b20c.png
图16.在五个代表性地点测量到的垂直电导率
((b)和(c)分别是(a)中放大的红
和蓝色方框。x 轴和 y 轴被夸大,以突出差异)
c3b60b0eb5f887cf528c6e561ff203fc.png
图17.深海电导率的垂直分布特征及相关控制因素

主要观点和结论:温度与深度呈幂律关系,温度与电导率之间存在较高的线性相关性。电导率的垂直结构在很大程度上与温度有关[4]。

* T/ X, b2 Z+ |  A

成果2:Field-observation for an anticyclonic mesoscale eddy consisted of twelve gliders and sixty-two expendable probes in the northern South China Sea during summer 2017

a2b5cdd78f58f9533b91931aea9f75b9.png
图18.(左)中国南海
(红点代表 62 个 XCTD 站,黑点为滑翔机轨迹,右下角为科考船)
图19.(右)网络观测实验中使用的 12 艘滑翔机
29ec947af0fc1ea87edba777c63e09da.png
图20:2017 年 6 月 15 日至 8 月 10 日绝对动态地形(SLA;米)和地转海流(米 s-1)的时间演变
(灰线为 500、1000、2000 和 3000 米等深线,洋红色线条在(a)中表示 ADT 的 1.15 米等深线,在(b)-(d)中表示 1.2 等深线,(e)-(g)中的白线(g) 中的白线表示漩涡的长轴)
b238f8d8919118a74528d8722c8cb65b.png
图21.2017 年 7 月 14 日至 7 月 23 (a)(d)、7 月 24 日至 8 月 3 日(b)(e)和 8 月 4 日至 8 月 14 日(c)(f)
(箭头表示根据 Glider 观测到的温度和盐度计算出的地转流和盐度。黑线连接水深 100 米至 800 米之间的漩涡中心)

主要观点及结论:利用12架装有电导率-温度-深度(CTD)传感器的中国滑翔机和62个消耗性CTD探头(XCTD)进行了密集的野外观测实验,研究了南海北部反气旋涡(NSCS)的三维结构和时间演变。观测结果表明,东沙岛的反气旋涡旋与坡地貌具有很强的相互作用[5]。


% l, }. H1 U0 f2 n& I: o
) r3 e# l; G# j+ D3 Q' ?* k, V
9 w2 `; @8 T% S; @' d" B) c# u+ {
CTD未来发展方向

) b: p2 S  L* X" w/ K- T* s

目前,CTD存在的缺点:

48a9464e14823bb6359bddf1322bd5f8.png
01
成本高昂。
02
便携性和部署灵活性差,高能耗。
03
极端环境深海观测能力差。
04
对小尺度过程的观测存在局限。

针对以上缺点,我们认为CTD可能的改进方向:

1

: Y  {" f' @# B, W$ S
注重仪器成本、功耗与信息传输,制造技术的改进等,都可以缩减仪器的总体成本。
2

# `* ]6 L  F/ L. W+ [9 d& n: V5 Q6 |+ F
促成动力参数传感器的小微型化和低功耗化。在仪器能源供给等方面力争有新的突破,能够满足长期连续观测的目标。
3
; N& E2 ^. j2 T& @% G. @. K+ x
环境适应性和耐久性提升:仪器在耐压与水密等方面能满足深海观测需求,争取实现对水下5000米区域内的长期观测。这可能包括防水性能、耐腐蚀材料的使用以及更耐用的结构设计。
4
# S7 `% F; A; I% t6 o8 k' ?
要求CTD有更高的观测精准度,足够分辨海洋中各类小尺度现象。CTD需更加智能化,能够根据需求快速响应及组网布放回收,在短时间内完成随时可能消失或移动的中小尺度海洋现象。

另外,我们认为CTD还可以采集更多参数,变得更加多功能化,除了电导率、温度和深度等基本参数外,未来的CTD设备可能会集成更多的传感器,用于收集其他海洋参数,例如溶解氧、气体含量、水质等,以提供更全面的海洋数据。

" P- G- D+ }, \9 K# G2 F: V

' l) a0 Z" d+ y: \% | 167a661e3f301525a7c29ac007608ba7.png ( h2 l( K: d. k0 C! y
, `) Y8 O, L4 a+ V, y9 o* e

& w, j' B3 g1 N0 S) }# X

随着原位实时观测技术的快速发展,海洋科学正经历从“考察”到“观测”的转变。海底观测网作为新的观测平台正在兴起,而由海基、陆基、空基和海底基观测平台构成的全新海洋立体观测网建设也已提上日程。这些变化对海洋动力参数传感器提出了新的需求,需要引入创新的设计。未来的CTD设备将朝着智能化、小型化、多功能化和环境适应性等方向发展,以满足科学家和研究人员对海洋参数测量和数据收集的更高要求。随着观测技术的进步,长寿命、智能化的CTD成为发展趋势,其搭载的海洋观测传感器也将具备自补偿、自修正功能。基于CTD传感器的基本测量原理,应努力开发出更先进的智能传感器,并朝着小型化、多功能化和环境适应性等方向进行完善升级,以更好地适应未来海洋科学研究的需要。这样的发展方向将有助于更好地理解和保护海洋环境,为海洋科学研究和应用提供有力支持。

) V8 g3 U9 Q6 w" g4 H
9 r# ^/ ~4 K0 d+ {' E
参考文献

# W# p7 ~7 O% A, }1 S0 x* o+ D
[1]http://www.notcsoa.org.cn/cn/index/project/show/3962
[2]http://www.focus-marine.com/Products-36456289.html
[3]Comparison and Analysis on Conductivity-Temperature-DepthSystem(CTD)Data Quality海洋科学集刊, 51: 288-295Studia Marina Sinica, 51: 288-295.
http://dx.doi.org/10.12036/hykxjk20160719003
[4]Zheng, Z., Fu, Y., Liu, K. et al. Three-stage vertical distribution of seawater conductivity. Sci.Rep.8,9916(2018). https://doi.org/10.1038/s41598-018-27931-y
[5]Shu, Y., Chen, J., Li, S. et al. Field-observation for an anticyclonic mesoscale eddy consisted of twelve gliders and sixty-two expendable probes in the northern South China Sea during summer 2017. Sci. China Earth.Sci.62,451–458(2019). https://doi.org/10.1007/s11430-018-9239-0
; I3 i$ M) S* o% O4 f* c  M" Y

2 S0 f* R9 E. Y( Z; _3 k; Z9 ^. v3 T
小组名单

! f- f5 q, K. @7 M7 D( k! n
资料与图片收集:
李缘缘、杨铁钰、王深
汇总与排版:冯唯科
审核,校正与补充:葛子涵、李淑清
01ef4af17ae932fd15ced6b4b1ab5653.png
长按二维码关注
“海洋调查仪器操作”
公众号
- S+ N# }' s9 X, x! O6 O5 q7 a3 [
回复

举报 使用道具

相关帖子

全部回帖
暂无回帖,快来参与回复吧
懒得打字?点击右侧快捷回复 【吾爱海洋论坛发文有奖】
您需要登录后才可以回帖 登录 | 立即注册
魏辉兵
活跃在前天 16:28
快速回复 返回顶部 返回列表