收藏本站 劰载中...网站公告 | 吾爱海洋论坛交流QQ群:835383472

海洋技术▏浅地层剖面探测在水域工程中的应用及问题分析

[复制链接]


近年来,我国经济实现了高速发展,各大港口、码头和航道等工程也在蓬勃的兴建中。在工程前期,需要对拟建工程场地的海底地层及不良地质状况有详细的了解,尤其是海底的软弱地层、强风化岩面、滑坡、断层等。常规的地质钻探勘察虽然能准确的揭露钻孔位置单点的地层状况,但它不能全面反映拟建场区内的地层状况,因此需要一种可以全面探测拟建场区内海底地层状况的手段。

浅地层剖面探测是一种地球物理探测方法,它主要利用声波在海底沉积物中的传播及反射特性和规律对海底地层结构及构造进行连续走航式探测,以获得海底浅部地层状况。浅地层剖面探测因具有探测效率高、探测映像直观、工程造价低等优点,被广泛地应用于水域工程海底地层和结构探测。

一、工作原理

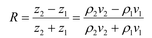
浅地层剖面探测利用声波反射原理来进行海底地层和结构探测。声波在传播过程中会因海底岩土层结构及密度的不同,存在能量衰减、速度及频谱成分的变化,在地层的分界面上会产生反射及透射。ρ1v1ρ2v2)分别为界面上部(下部)介质的密度和声波在该介质中传播的速度。

41233066e1e2aaf8ad224283ffa64d3a.png

图1 声波的反射及透射

声波在不同介质中传播时,反射系数R与介质的密度ρ和声波在此介质中的传播速度v密切相关,其关系如下:

5be18e81d91912735789ff034b072cd2.png

z为介质的波阻抗,R为反射系数)

声波在海底不同地质年代、沉积环境形成的地层中传播时,会因土层的密度ρ及传播速度v差异,反映出不同的声学反射特征,在反射界面处产生比较亮的反射条纹,并且同一地层会产生明显的同向轴。浅地层剖面探测可根据以上声波的反射理论,来实现地层结构及构造的探测及识别。

二、仪器设备

本文海底浅地层剖面探测均使用英国AAE公司生产的CSP-D2400J震源为主的浅地层剖面探测系统。本探测系统由CSP-D2400J震源、AA300发射板及托体、24单元水听器阵、CodaDA500工作站组成,见图2,指标参数见表1。

4fb9219cbe3ca46105c713f0398d16ab.png

图2 探测系统

表1 设备参数指标

7afac035b75d3f5e809759482a65cf72.png

三、数据采集

⒈设备安装

在浅地层剖面探测作业时,将浅地层剖面探测系统的Boomer发射装置(震源)及接收装置(水听器)分别安装在船舷左右两侧,并分别通过钢管支出船舷拖曳,以避开船体的干扰。

将导航电脑、浅地层剖面探测采集系统全部安装在测量船驾驶室内。安装完毕后,精确测量Boomer发声震源、水听器及GPS天线之间的相对位置关系,并做好记录。安装示意图见图3。

a6326e0d161a84df55c11e2cc08f6cce.png

图3 探测系统安装示意图

⒉工前试验

良好的数据采集是至关重要的。在浅剖测量正式作业前,需在测区内对震源能量、拖曳长度和水听器间距、采集增益及工作船船速等参数进行试验,选择获得最佳资料采集效果的参数设置。

⒊正式采集

调试好仪器设备后,按照已布设测线进行探测作业,探测作业时,要有专人实时照看采集设备并瞭望周围海域状况,确保采集数据清晰有效且不间断并且保证船只在水域中安全。

⒋数据复核

数据采集完成后,应及时检查所采集数据的定位信息是否有中断、参数设置是否有错误、航迹线与布设测线是否偏差过大,是否有漏测测线,如有以上情况,需要及时复测,以保证数据的准确性及完整性。

四、数据处理

使用Coda或SonarWiz-5等专业软件对采集数据进行分析和处理,步骤如下:

⑴数字处理:包括基本增益和基本补偿、TVG可变增益、水底散射压制、多次波压制、噪音消除和数字化滤波。

⑵在原始映像图上划出清晰的反射界面,划分反射界面应遵循以下3个原则:同层的划分应反射连续、清晰,并可区域性追踪;不同层之间发射界面应存在显著差异;主测线与检查线交点处反射界面应重合。

⑶提取坐标、高程等数据,水位变幅超过±0.5m时应进行高程校正。

⑷根据声波在水下探测层中的速度,计算水下各探测层厚度,并进行层厚校正。

⑸绘图。

五、工程实例

广东惠州某地因港区规模和泊位等级的提升,航道等级也急需提升。准确确定海底强风化岩顶面,为水域疏浚提供合理的资料支持成为本工程的重点。根据前期钻孔资料显示,上部覆盖区多为淤泥质土(未钻到强风化岩顶面),局部地区存在礁石,应用浅地层剖面探测,成功地探测出了上部淤泥区厚度和强风化岩顶面,为清淤方量及岩石炸礁量计算提供了有力支持。典型的探测映像图见图4。

a1215cfd9c3a466ec6ff87f25eb4655e.png

图4 惠州某航道典型浅地层剖面探测映像图

广东阳江某地新建调峰储气库码头,需对上部覆盖层进行探测,确定海底土层特性和厚度及强风化岩顶面高程,应用浅地层剖面探测作业,获得典型的探测映像图见图5。

bdbcccbe406a50c3492c9e04a84417de.png

图5 阳江某码头典型浅地层剖面探测映像图

本项目最终成果只划分海底面、第一层、第二层及基岩面(图5中黑色线)几个反射界面较明显的地层,图中蓝色线划出的地层反射界面清晰度较差且不连续,不是连续的地层,最终结果并未给出。结合最终钻孔勘察资料可知,海底与第一层为淤泥质土等软土层,第一、二大层之间为粉土、黏土、细砂等层,第二层和基岩顶面之间为中粗砂、残积土及全风化岩等土层。最终探测成果与钻孔勘察成果吻合度较高,准确性良好。

六、问题分析及解决方法

浅地层剖面探测在数据采集和资料处理中,会有多种干扰因素的产生,不同的处理方法会影响数据的采集效果及处理结果。

⒈数据采集的主要问题及解决办法

⑴定位精度不准确

产生原因:在数据采集的过程中,震源激发和接收设备的拖曳会由于船体行进过程中的拐弯、洋流、海浪等原因,造成定位的不准确。

解决方法:尽量选择侧托或者利用合理的装置把设备与船体固定、接收装置尽量在背流的一侧、选择在海况、天气较好的条件下作业。

⑵机械波干扰

产生原因:数据采集过程中,由于船体震动、发动机震动、螺旋桨与水流的冲击、船速(航速>7节时,噪音显著增大)等原因生成的震动及噪音,会对采集数据造成一些低频的干扰,使得探测图像清晰度差。

解决方法:选用马力较小的木船进行探测作业、严格控制船速、尽量不要顶流作业。

⑶电信号干扰

产生原因:数据采集过程中,发电机的输出电压不稳定、发射机的高压电流、设备连接线的接触不良及传输电缆的漏电等原因,会对数据产生影响。

解决方法:发电机输出电压要通过稳压器连接到设备,发电机及设备采集装置要接地,各连接线直接尽量不要搭接,经常对电缆进行查看,保证其不会漏电。

⒉数据处理中的主要问题及解决办法

⑴直达波干扰

产生原因:信号由震源产生不经过界面发射直接到达接收装置而成,在探测图像上,表现为与0线平行的一条直线,多出现在水深较浅的海域,会造成直达波与海底地层的发射界面重合的现象。

解决方法:浅地层剖面探测时,应同步进行水深探测,利用单波速水深探测的结果来识别海底。

⑵多次波反射干扰

产生原因:由于水深条件、能量选择、海底地层性质及密实度的不同,声波在两个能量较强的发射面之间来回传播产生,一般为水深的整数倍,多次反射往往比初次反射还要强。

解决方法:处理时利用预测反褶积法、参考当地钻孔资料及区域地质资料联合判断。

⑶速度选择不当

产生原因:声波在海底地层的传播中,因海底以下土层的不均匀性,声波在传播的过程中并非以某一个固定速度传播,而是时时刻刻在变化的。

解决方法:通过对钻孔土层的拟合对比,尽量合理的选择速度参数。

⑷地层界面的选择

产生原因:采集效果差,资料处理人员的个人经验等因素。

解决方法:保证采集的映像图清晰;对海底的追踪参考同步测深资料或已有的测区海测图;对海底以下土层,尽量选择反射结构基本相似且连续的界面,来划分大层,划分的大层应与钻孔资料进行对照,结果应大体一致。再根据需求划分细层,细层可能会与钻孔资料不能一一对应。

七、结语

本文通过对浅地层剖面探测的原理、采集和处理、产生的问题及解决办法做了描述。浅地层剖面探测比传统钻探更能在区域内反映海底浅部的地层结构及构造,为水域工程施工提供可靠的资料支持。

探测经验表明:浅地层剖面探测对区分淤泥、淤泥质土等软土和强风化岩顶面的项目中分辨率最好,对密实度差异较大的粉土、粘性土及砂类土的分辨率较好,对密实度差异较小的粉土、粘性土及砂类土的分辨率一般,对风化岩及强风化岩顶面的分辨率较差,对强风化岩和中风化岩之间的差异基本不能分辨,浅地层剖面探测应根据实际工程需要来选择使用。

71c40514e27d986d424e4a8a0d8fd9a2.png
回复

举报 使用道具

相关帖子

全部回帖
暂无回帖,快来参与回复吧
懒得打字?点击右侧快捷回复 【吾爱海洋论坛发文有奖】
您需要登录后才可以回帖 登录 | 立即注册
广州老梁
活跃在2026-4-9
快速回复 返回顶部 返回列表