收藏本站 劰载中...网站公告 | 吾爱海洋论坛交流QQ群:835383472

多波束测深数据失真的原因及解决办法

[复制链接]

近年来中海油服物探事业部工程勘察作业公司开展了较多的多波束勘测项目,获取了相关海域的多波束测深资料,但在上述多波束勘测数据的后处理成图过程中也发现了一些问题,且这些问题具有一定的代表性。今后勘探向深水发展,这些问题造成的误差势必更大,必须彻底解决这些问题才能制作符合规范要求的海底地形图件。本文探寻了多波束测深数据失真的原因并提出相应的解决办法。

一、外业测量因素及解决方法

⒈多波束安装校准

只有当多波束安装参数如横向角度偏差(Roll)、纵向角度偏差(Pitch)、艏向角度偏差(Yaw)、探头相对于导航系统天线的轴向偏差(沿测线方向△X、垂直于测线方向△Y)、由运动传感器与换能器分离造成的运动传感器偏移误差等经过严格校准后才能获取到可靠的测深数据。校准并不需要在已知水深地区进行,而是基于不同测量条件下地形数据全局吻合的理念。Roll偏差使得海底以前进方向为轴左或右倾斜;Pitch的存在使得测量的结果发生前(后)位移;Yaw误差会造成测深点以中央波束为轴位置发生水平旋转。运动传感器的偏移误差限于运动传感器和换能器是分离的情况(大多数情况如此)。由于运动传感器测量的姿态并不完全与换能器姿态一致,它们之间的偏差称之为运动传感器偏移误差,包含运动传感器纵轴与船坐标纵轴方向不一致带来的姿态误差,及由运动传感器的姿态误差带来的上下升沉误差。换能器的起伏与传感器的测量值间相差一个由纵摇和横摇引起的感生起伏,可通过横摇、纵摇及换能器与垂直参考单元之间偏移量、艏向间复杂的关系式加以表述。

各参数校准的先后顺序非常重要,一般遵循GPS时延、Roll、Pitch、Yaw的校准顺序。为了取得较好的校准效果,要根据校准参数选择在不同特征的地形上进行,且一般要求在水较深处进行。双探头的多波束系统校准与单探头多波束系统校准并无本质不同,实质是分别对每个探头单独进行校准。

图1 Roll安装误差产生影响示意图

值得注意的是:Pitch、导航时延(TimeDelay)及△X误差造成的影响非常相似,区别在于由Pitch引起的水深误差随着水深的增加而增加,由导航时延引起的水深误差随着船速的增加而增加,而由静态偏移距误差(△X、△Y)而引起的水深误差与水深和船速都无关。

8702ef8f8b74429a5a41159d3f646d83.png

图2 Pitch误差(1°)造成的水深点位置误差与水深的关系

⒉时间同步

多波束换能器、运动传感器以及导航系统间的时间同步是至关重要的。多波束系统的处理单元(PU)内置有时钟,所有从外围设备传送至PU的与时间有关的数据———如姿态数据包roll,pitch,heave,yaw———都被PU打上时间的标记。由于运动传感器、GPS系统处理数据需要一定时间,其传送的数据包到达处理单元的时间和其真实测量时间相比,会存在一定的延迟。如果时间延迟未校准,将导致所获取的水深值不能与换能器真实的姿态、坐标对应,从而使所测地形数据失真(如图3所示)。

ebebda215ffca424507c46ce8c282397.png

图3 Roll时间不同步造成的地形假起伏

可通过外部1PPS信号(即每秒一次的脉冲)校准处理单元的时钟。注意在调查过程中尽量不要调整时钟,以使处理单元和外围设备的时差恒定,便于后处理。对于姿态,一般来说时间同步误差应不大于5ms;对于定位数据则取决于所要求的定位精度及船速。如定位精度要求在0.5m内,当船速为10节时,要求时间同步误差在100ms内。由于目前绝大多数运动传感器能将时延误差控制在20ms以内,因此时延误差引起的水深误差并不大。

⒊测线布置

有文献建议布线平行于等深线的方向。作者查阅资料,认为在海底坡度较大的区域,应沿着斜坡测量,而不是在上坡、下坡分别测量。前者可根据水深的不同调整测线间距,较为经济,但测线布置难度加大,而且斜坡反射的波束只有较少的部分被换能器接收,多波束旁瓣的影响会加大,易造成错误的海底检测。故布置测线时要根据实际情况及需求权衡利弊。

⒋探头吃水

在调查中应注意船吃水的改变并及时修正。探头吃水应该通过左右舷吃水的平均值来确定,测量位置应在通过运动传感器、关于船身轴线左右对称的船舷位置,这点往往被忽视。船舷安装的多波束探头形式上的吃水改变,可能是由船身倾斜引起的。

⒌船的纵摇

船的纵摇(也称为Pitch)不同于多波束安装的静态纵向角度偏差,是指动态的船头船尾绕轴上下运动。这种运动虽然角度一般比横摇小,但由此造成的多波束扫射面随着船的前后摇晃而来回移动可能造成局部数据丢失。为了减弱这种损失,需要限制船速,当纵摇角度较大时须考虑停止多波束作业。

⒍声速剖面

声速剖面测量方式引起的多波束测深误差是一个普遍存在的问题,并自始至终不同程度地影响着测深的精度。因声速剖面测量往往是“以点带面”,且多波束勘测又具有一定的滞后,故很难得到准确实时的声速剖面。声速变化最活跃的部分是表层,因其变化最早改变波束射线路径,故表层声速变化对波束测量精度的影响也最大,对边缘波束的影响尤其明显。试验表明表层声速减小时将引起勘测海底两头上翘,而表层声速增加时将引起勘测海底两头下凹。虽然不少后处理软件有声速折射改正的模块,但作者经过较长时间的实践,认为其效果并不理想。为减小声速剖面给测深带来的误差,应现场及时补测声速,当测区范围较大时,多布置声速测量站;另外,为了减少其对边缘波束的影响,可适当减小波束开角。如多波束系统配有实时声速仪,应注意监测多波束探头处声速并与已测声速剖面值比较,以决定是否需要进行新的声速剖面测量。

⒎航行要求

用于多波束测深系统的运动传感器通常有低通滤波装置,波浪和涌浪的较高频率的周期性的运动在滤波带宽内经过一定的时间将产生零平均偏移,不会影响姿态测量的精度;但是,任何方向的长周期加速度都将对低通滤波比力矢量产生一个额外的加速度影响。通常产生长周期加速度的方式有两种:一是船速的增加和减小,二是船只转弯。前者导致一个纵摇误差,后者产生一个横摇误差。《海洋调查规范》也明确规定“测量时船只应保持匀速直线航行,航向修正速率不得超过5°/min”。

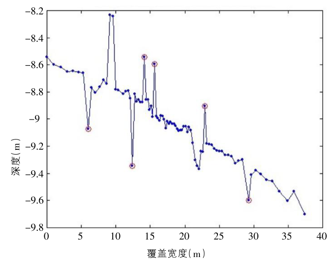
⒏实时数据清理

实时数据清理往往被忽视。事实上,在采集过程中设置适当的参数来进行实时数据清理不仅可极大地减小后处理的工作量,而且可保证真正的海底被跟踪的更好,提高数据质量。在数据采集软件中被剔除的数据,并不会丢失,只是被标记出来,后处理可选择恢复被剔除的数据。实时数据清理可分为“基于线的数据清理(LBDC)”和“基于面的数据清理(ABDC)”。LBDC方式能清理明显的噪声(如脉冲状噪声,如图4所示)。

d06ced808b6497ef98a9b67deed7d530.png

图4 LBDC实时数据清理的结果(单ping)

经过LBDC处理的数据随后融入到待处理的网格,经过ABDC处理,主要思想是通过多项式拟合曲面,并赋予远离曲面的点较小的比重,多次迭代。ABDC能发现声速剖面误差和换能器安装角度误差等。

⒐多波束探头的安装

多波束探头安装位置宜选择远离船主机、副机和泵的位置,声纳头安装太靠后会受到螺旋桨的影响。船底安装的多波束探头最为牢固,校准参数不易改变;船艏安装的受到的噪声干扰小,但易受纵摇影响,且易被碰撞;如采取舷侧安装的方式,声呐头要超出船底,声呐杆不宜太细,探头离最后一个支撑点不宜太远,尽量在靠近水线的地方设置固定点,或用钢丝绕船底固定杆的底部,以尽量减小杆的振动。探头与运动传感器水下集成安装的系统,其姿态补偿效果比分开安装的系统要好;但当杆自身的振动频率较高时,补偿效果也受一定影响。图5中显示的为由于安装探头的杆振动而造成的虚假起伏地形,这种起伏与Roll时间不同步类似,但后处理难以消除。

f77dec1f314cade6dc4e37687b38b792.png

图5 多波束探头安装杆晃动造成的假地形

⒑海况、底质因素及波束频率

海况的优劣是影响多波束测量数据质量的主要因素之一。当测船摆动幅度较大时,某些波束将无法被换能器接受到。另外,测船受波浪的影响瞬时航向航速将会发生变化,即产生瞬时加速度,对姿态测量产生一定影响,故不少规范对多波束作业的海况都有要求。恶劣海况的另一个影响是会产生大量的气泡,对声波的反射、衰减都有较大影响。为避免或减弱这种影响,应在条件允许的前提下尽量加大换能器的入水深度。

由于受声学原理的限制,很难制造一种多波束测深仪同时满足浅水和深水的测量要求。浅水型多波束系统一般选用100~300kHz频率,测程小于800m;深水型多波束系统工作频率一般在12~30kHz,测程为数千甚至上万米。

波束的频率对测深精度也有一定影响,如含水率较高的海底表层和海水间的界限可能无法被频率较低的多波束声呐(如12kHz)探测到,而频率较高的波束(如100kHz以上)则能较好地探测到该界面的回波。在数据精度要求较高的情况下,应考虑这点。

二、数据存在的问题及后处理

⒈调查过程中船姿的改变

一般来说,船姿改变的校准属于多波束安装校准的范畴,但现场校准并不能一劳永逸的解决该类问题。调查过程中多波束探头的安装参数并非是恒定不变的,如航次勘测末期船载油水的大量减少或使用不均导致船姿的改变、在勘测区未能定期校正声呐参数,以及测船侧风勘测造成较大的横摇误差等。重新测量将投入大量经费,因此在室内后处理中采取一定的补救措施显得非常重要。如图6(上)所示,3条同方向的测线显示的多波束测深数据(水平视角,顺着船的航向看)受到Roll的影响而使海底呈现假的倾斜。一般来说这需要在后处理中通过修正Roll值来补偿,但图中可以看出,3条测线受Roll值影响的程度不同,无法用一个Roll值使地形全局吻合。为此,针对不同的测线可分别使用不同Roll值来校准另外。由于事先并不知道该处的真实地形(可能形如W或M状),使得Roll值存在多解性。根据与该方向垂直的联络测线可知该处地形较平坦,故可调整Roll值,使地形趋势平坦且全局吻合,如图6(下)所示。

6b9f627c6eed6dc55e86f2eeb1f54e10.png

图6 船姿改变造成的相邻测线无法拼接(上)及应用多个Roll参数校准后(下)

⒉中央波束的条带效应

在后处理中发现不少多波束系统(如EM302)采集的数据中央波束附近普遍较不平整,存在的凸起部分尤其明显,导致其生成的地形存在较明显的条带(如图7所示)。

0267eacf91a3008f57235a4511dcd8c9.png

图7 多波束测深数据生成的地形(中央波束附近数据质量较差)

这样的数据生成的等深线在中央波束附近存在互平行、沿着航迹的等深线。分析认为,由于该类型的多波束系统基于相位检测,而在探头的垂下方,由于到达换能器的回波相位差较小,检测效果较差,导致数据质量下降。在处理中也发现,振幅-相位联合检测回波的多波束系统(如EM3002)则不存在上述问题,笔者认为是因其在中央波束附近采用了振幅检测的缘故(见图8:EM3002多波束系统的采集界面)。对于中央波束质量较差的情况,应充分利用后处理软件中的自动滤波模块进行处理,如设置坡度门限、相邻水深点间的夹角阈值等进行自动滤波。对于井场调查等测线布置密度较大的测区,可以删除质量较差的特定波束角的数据,保证全覆盖即可。

b80a1cfb1cc90325fdc2dbe9b5e778b1.png

灰色部分(中央波束附近)采用振幅检测,黑色部分采用相位检测

图8 EM3002多波束系统的采集界面

值得指出的是,自动数据清理的参数设置需要根据测区的具体情况而定,对复杂海底地形区的数据采用自动数据清理的限制条件不能过于严格,否则可能会使真实的短波长地形被过滤掉。

⒊潮汐改正的影响

海洋潮汐随空间和时间而变化。在小区域测量或对测深精度要求不高时,可以忽略空间变化对潮汐的影响,以单潮位站潮汐数据代替整个测量区域的潮汐变化直接进行单站改正;但是当测量区域较大时,空间位置对潮汐的影响较为明显,当水深精度要求较高时,可使用多潮位站潮汐改正,实现整个测区水深数据的无缝衔接。以国际上多波束数据后处理的通用软件CARIS为例加以说明。多潮位站可以指定多个潮位站,以水深测点到各潮位站的距离反比为权,进行多站潮位的加权平均,其函数模型:

T=∑(Wi×ti)/∑Wi

Wi1/di

式中:T为每个水深点对应潮位;Wi为区块内每个验潮站的权重,与距水深点的距离成反比;ti为每个验潮站的潮位值;di为水深点距每个验潮站的距离。

由于CarisHips中多验潮站潮位改正模块没有可视的专用工具用来定义潮位分区文件,需要利用写字板。在充分理解*.zdf文件格式中各参数含义前提下,定义数个闭合区间,指定每个区间所用的潮位文件及潮位文件的存放路径等(具体设置参见Caris帮助文件)。

三、结束语

多波束测深系统具有全覆盖、高效率的特点,是单波束测量系统所无法比拟的。然而由于其包含较多的外围设备和辅助参数,受到的影响因素也较多。保证外业数据采集的可靠性是至关重要的,在进行数据后处理时,不能一概采用平滑的处理方法。采集、处理人员应熟悉多波束数据采集原理,采取科学、严谨的态度,尽量使多波束测深数据的失真降到最低。

1

END

1

【作者简介】文/刘林,1984年出生,男,天津人,中海油田服务股份有限公司物探事业部工程勘察作业公司,工程师,研究方向为海洋工程物探。文章来自《价值工程》(2023年第21期),参考文章略,版权归出版单位与作者所有,用于学习与交流,转载也请备注由“溪流之海洋人生”微信公众平台编辑与整理。


回复

举报 使用道具

相关帖子

全部回帖
暂无回帖,快来参与回复吧
懒得打字?点击右侧快捷回复 【吾爱海洋论坛发文有奖】
您需要登录后才可以回帖 登录 | 立即注册
礼子
活跃在2026-4-7
快速回复 返回顶部 返回列表