收藏本站 劰载中...网站公告 | 吾爱海洋论坛交流QQ群:835383472

各种湍流模式的比较与分析

[复制链接]
来源:百度文库《各种湍流模式的比较与分析》一文,作者,张晓前。该文由kk zyb与2014年6月17日分享。

研究湍流的目的最终是为了预测和控制湍流。为了做到这些必须了解湍流的本质。随着电子计算机的发展,利用数值模拟方法研究湍流成了必不可少的方法。
! z+ s2 J3 X8 d
如果从流动控制方程出发,进行最精细的数值模拟,称为直接数值模拟 (DNS,Direct Numerical Simulation)。
6 u0 V! Q# n3 {5 T. p$ h* \
只需预测湍流的统计量时,从雷诺平均方程出发的模拟,称为雷诺平均数值模拟 (RANS, Reynolds AverageNumerical Simulation)。
; Q% ^6 e$ j8 ~  w" N6 z
介于DNS和RANS之间的是大涡模拟 (LES, Large EddySimulation)。LES的思想是大尺度脉动用数值方法计算,小尺度脉动对大尺度的作用通过模型假设处理。

$ _; }! ?9 v; _, }7 O
以下我们主要讨论雷诺平均数值模拟 (RANS) 的封闭模式。
f778a7a40daa533a6809c13ba1b3a08d.png ; s- s+ j  H, `) o+ H5 r

/ n+ ?! D4 D" u. O% U2 g4 C+ S3 m! \. Y* \: I$ B, E
湍流模式的基本思想

0 T7 _( D3 P7 m
在雷诺方程中建立雷诺应力和平均运动场间的关系式,就可以使雷诺方程封闭,此模式称为低阶矩模式。如果以雷诺方程和雷诺应力输运方程联立作为湍流统计平衡的控制方程,这种模式称为二阶矩模式。此外,依据封闭关系式的数学方程模式,湍流模式又可分为代数模式或者微分模式。

0 \$ t5 D: \4 J9 H2 X/ W8 E+ M  Y) v
湍流的直接数值模拟 (DNS) 不存在封闭性问题,原则上可以求解所有湍流问题。由于计算机资源的限制,迄今为止DNS只能求低雷诺数的湍流简单问题。雷诺统计平均模式 (BANS) 计算速度快且符合设计精度要求,成为目前工程应用的唯一方法。
# ^/ p/ i1 J. |/ m
RANS的缺点是缺乏普适性,要使这种方法称为一种简单可靠的方法还需要做很深入的工作。大涡数值模拟方法 (LES) 只对小尺度脉动做封闭模型,因此可能有较宽的适应范围。

3 T" k# F+ ]* x$ U6 _

$ y+ X) ~, E3 R$ V
建立湍流统计模式的一般原理
: D; o7 h1 r+ `7 q8 @# f
建立足够的雷诺应力方程组(代数、微分或一般泛函)使得平均运动方程可解。
" L% I4 w: }. x0 u
雷诺应力是平均速度场和初边值条件的泛函,待封闭项是平均速度场、边界速度脉动和边界湍动能的泛函。而泛函的具体形式很难用解析、实验或者直接数值模拟的方式确定。因而湍流统计矩具有以下性质:

2 n( K9 C5 M% C3 Y' R! {
  • 泛函表达式不是局部的。
    8 w$ `+ l/ J9 D0 {
  • 脉动场的泛函形式除了与平均速度场有关,还隐含流场的几何边界。
    % O+ C6 N; o( [( w( [( ^. |! @2 M7 X
    ( d/ f) f$ ~% z; V: H  P

# n3 k1 z8 z8 G1 W
综上所述,湍流脉动的统计矩中包含丰富的脉动场的性质,但是他们不可能用解析方法表达出来。因而我们不得不做各种假设,各个假设又有自己的适用范围。应用湍流模式既需要理性又需要经验。& D7 I8 H; o8 d- n
4 N2 Z) l) F! @# w/ y9 P2 @$ V

" G# [! O+ }: K9 W, s9 s
封闭模式方程的约束条件

: Q4 }# L' W) K' A7 J2 P脉动速度的高阶矩是张量,统计量之间是张量关系式。张量关系的封闭式必须满足客观性原则:2 R8 [" v* `) g* N8 D' j
  • 张量函数的可表性原则;
    . y' D/ D$ a* u! A
    ' {$ q1 q2 _) T+ f0 }* S7 M
  • 关于参照系统的不变性原则;
    " i, \2 B5 {3 `4 z5 I1 I6 V# @2 G- X5 E
  • 真实性原则;! ~3 z3 G; [  J7 \! l! o5 T
    1 s0 R' I7 f' W5 O& l
  • 渐近性原则。7 \& T' l) O( k6 Y

    / Y  `# B/ u; b9 I( @8 |( m: [# Q4 v
    & W5 t9 F, _" c4 T  b
5 P9 W7 _0 _+ `
9319dfaffc808082634be3ef12360b31.png
" }5 a( z; N) \4 S( J5 g+ a  m: N
* H; D$ f" Y+ D8 b
% e$ F' \* O: E. c$ x/ Z
常用的一些封闭模式
2 M( K  L9 c' {/ l. T4 [, u) D- ~
  • 涡粘模式:是工程中广泛应用的模式,表达式和分子粘性类似。4 a1 u2 p# ?4 y# j; x0 A" K
    ' V( _9 z3 p/ l' g5 d
  • 2阶矩模式:也称雷诺应力模式,比涡粘模式多6个雷诺应力的偏微分方程。

    ( Z) Y# i# P# n
    ! T. G. U% l; d( R1 A

+ N) r) ?1 f3 P) K0 m. P" I8 l6 i. h
+ i& L. L/ D+ v7 K3 i
代数涡粘模式(零方程模式)
9 j& u( k6 I8 J8 d
雷诺应力表达式<ui′uj′>=2vTSij-1/3<δij><ui′ui′>。即bussinesqe涡团粘度模式。Sij 为平均切变率张量。目前在工程上广泛应用的代数涡粘模式是Baldwin-Lomax模式。

' ^! i# E( Y: f  _5 Z5 b, d  `- @
代数涡粘模式的评价:
9 _9 t$ c# H) ^4 Q# B
  • 计算量少,只要附加粘性模块就可以利用通常的N-S数值计算程序,是最受工程师们欢迎的方法。没有普适性,适合对特定的流动做各种修正。
    8 Z: \* g& y5 b+ v. m

    , Q- m. C3 U, D1 l$ i; }
  d! _! P6 i: D0 G, _
结论:二维薄层湍流预测结果满意,三维复杂湍流基本不能满意。

" r8 t+ e, \$ @. q
2 w- [. ]! `. i( H' p
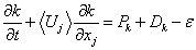
标准k-ε模式(两方程模型1)

9 l& y# R" A- s7 U! S" e% {
由涡粘模式发展而来,把涡粘系数和湍动能及湍动能耗散率联系在一起。vT=Cμk²/ε为无量纲系数。
( S- F+ e' v/ m4 E* L' U- ~
上式依据是脉动动量输运的物理机制。vTqllk3/2/εq∝√kq 为脉动速度的特征量,l 为脉动长度尺度。

! }! R* O. L  j! \  M
k-ε 模式中,kε 分别在他们的输运方程中解出。

/ U0 W  ^: n: C
湍动能消耗的机制十分复杂,对它的方程做逐项模化几乎是不可能的。现在采用的是基于类比方法,基本思想是湍动能耗散的生成、扩散以及消失等项和湍动能方程中的对应项有类似的机制和公式。其封闭的方程如下:
e3ac9b6edffed77b55aacabb607717db.jpeg
d8ad50b6331de698e82b96798adbe77e.gif
ff6e3cce290e7fa837f03689565ed51f.gif
ffb1823f35ec4a2d65d096c09f26b8a2.gif
a09e814b26b44a487dadc7b3f2b35819.gif
aa27ecca9d9a72fc51203a8c6b111d6e.gif
f4466da913f99085adc6edd286eef115.gif
模型方程的常数如下:5 \, f. O5 F& ~3 |
63301c2905b4fed37bfd08f7a6349478.gif
关于标准k-ε模式的评价,主要缺点是:
; N6 R" d9 h) Y
  • 假定雷诺应力和当地的平均切应变成正比,不能反应雷诺应力沿流向的松弛效应;

    : K) Z/ h8 H3 q8 Q
  • 模式是各向同性的,不能反应雷诺应力的各向异性,尤其是近壁湍流;

    0 \+ W5 g- \+ Y
  • 不能反应平均涡量的影响。

    + R" z" |) B& N; Q8 w* Y" F
    3 h% x7 u1 b: `  C

' _. X% }6 ?( {/ m8 U
为了克服模式的缺点,发展了近代的非线性模式。

3 J( Y8 s4 r5 k$ b7 ?0 G$ U6 h/ |2 k6 E# Q
非线性k-ε模式
1 g) y: `0 |5 j3 A* D: V
我们把雷诺应力的泛函表达式近似为代数表达式,并把他做Taylor展开,并保留到2阶项,得如下二次式:
% U* ^6 q7 ^( M2 L& p+ K5 s
de0034294674c9155d5561d54f2710ca.gif
此模式不仅仅是代数意义上的二次式,它包括了涡粘系数的各向异性,历史效应以及平均涡量的影响。此模式能够预测到方管湍流中的二次流,而标准模式只能预测到流向均匀的单向平均流动。

5 _4 D) h* y; M6 [$ r6 A& ?
非线性k-ε 模式较之标准k-ε 模式有很大改进,但仍具有涡粘模式的固有缺陷,如没有包括雷诺应力的松弛效应等。同时,在平均切变流很大的流场内,k-ε 模式有可能不满足真实性条件。
) k, ~2 [7 o. R- y! h' _4 w2 D
最后,理论上k-ε 模式是以湍动能生成和耗散相平衡为基础的,在固壁处分子粘性扩散将在湍动能中起重要作用,实际应用中我们使用壁函数而不是数值积分对其处理。
8 p9 t0 Y/ v- E8 X
壁面律的最大缺陷是难以推广到三维和复杂的湍流中,如果网格分辨率足够,我们还可以对近壁k-ε 模式修正,称为低雷诺数模型。
6 z6 ?  ~1 V+ s+ q4 I4 x
8 i  p+ i3 R# I3 Y
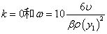
k-ω模式(两方程模型2)
' B" ^8 E2 K% H( u3 Z( z" _
ω 为湍动能比耗散率。此模式主要求解湍动能及它的比耗散率的对流输运方程。

1 K8 Z4 X- D6 a( v0 Y3 L
己经证明,k-ω 两方程模式在粘性子层比k-ε 模式有更好的数值稳定性。同时由于ω在壁面处较大,此模式不需要显式的壁面衰减函数。

* C3 p$ G: l* p3 Q, W9 d5 b0 ^+ w
雷诺应力的涡粘性方程
420d2495326c16b587fc3cfce4d09997.gif
vt 为涡粘性,ρ 为流体密度
b052e6f795bfe16bc6391acb1753087e.gif
kω 的输运方程为! J, K8 V1 ~- x/ M
35847c37075a8ac302871ab721db48da.gif
8d71fee7f63bd08301f3162fbf81a88f.gif
各个参数为
3fefb06040a03fc48934617af59fe66b.gif
边界条件
95de69b907e4a99862b342be34564b15.gif
y1为离开避免第一个点的距离。
! b8 H$ ^2 D9 {4 S# B/ x% O
8 p4 `- L/ K1 M: O  d1 A- ?5 X: M
单方程涡粘系数输运模式(一方程模式)
$ D! `2 w, a8 w
标准k-ε 模式是局部平衡模式,不能准确预测平均流动有剧烈变化的湍流,如流线曲率突然变化、分离流动以及有激波的可压缩湍流。既要保持涡粘模式的简单形式,又要考虑雷诺应力的松弛效应,Spalart提出了单方程涡粘系数模式。仍然采用涡粘形式的雷诺应力公式,但是放弃vT=k²/ε,而直接导出涡粘的输运方程。对平均应变率表达式的平方求质点导数并代入雷诺应力输运方程,再加上雷诺应力输运方程的封闭模式,就能得到涡粘系数的封闭模式。常用的有Baldwin-Barth  (BB) 模式和Spalart-Allmaras (SA) 模式。
( Q6 d7 e0 q5 N
涡粘模式的评价:
, u4 O2 d3 F- t- g) ^
  • 涡粘模式在工程中应用比较方便,主要缺点是它的局部性(Spalart模式除外)。如果从雷诺应力输运方程出发,雷诺应力的历史效应就可以模拟,此封闭模式成为二阶矩模式。* i& O$ D% \- x/ W/ Q/ O# }
    ' f/ a9 R; O7 {4 A  t5 b# m
    & q6 x+ W* _( a+ R6 B8 x/ [, i
2 R! b" K: j7 p7 e
: I% ?0 R( z4 P6 G% c
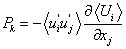
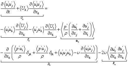
2阶矩模式的封闭式(RSM)
$ Z+ T4 r) Q/ h9 `7 |9 D& Y9 d
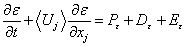
脉动速度2阶矩的目的就是封闭以下雷诺应力输运方程:
' D- B: B- S) L) i; R. ?
3605f5342b306933366ea3fe0d80430d.gif
待封闭项为ΦijDijEij

. h* `' k6 ^3 q* V
2阶矩模式分别封闭扩散、耗散和压强速度梯度相关项。

* ?& y3 M( H+ [0 `) g! S

3 s/ W" Y( h% H" C/ b% Y% j
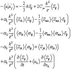
雷诺应力再分配项的模式

- g& K1 [$ Z. R
682f27d10e9aeb4cdee5f15de4cc873d.gif
b 为无量纲化的雷诺应力偏张量:
, R+ r: O# R  V( d8 N
7882ba1c0318c1ba8a5b1be5de03b7fe.gif
模式常数由典型湍流的实验结果确定,如下:
) @6 N5 D" ^! K& w
fbf9182b96e86963769ca9ec1ca6a121.gif
最后一项称为壁面项,只在极近壁处有较大贡献,通常忽略或者合并到其他项。; Q' o. H5 Z4 Q5 y2 p/ N4 N
7 H# y9 t1 o$ p; Y. O( w' A

( T" s2 U. Q. W- `. q2 ~
: R. B" z+ |1 T+ v
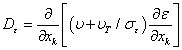
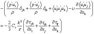
雷诺应力耗散项的模式

! }/ i7 p1 G. U! h在湍流统计方程的封闭模式中,湍流输运的耗散模式是最难建立的。耗散包括大涡耗散,小涡耗散,湍动能耗散的扩散项,湍动能耗散的耗散项和湍动能耗散的分子扩散项。目前常用各向同性的耗散模型。εij=2/3εδij。这是不得已而为之,但是目前还未提出工程中更实用、更好的耗散模式。
3 T( W' Y4 _# [  G/ u5 n) A4 f
! a. B3 s' ~) K/ Z! \9 @& i2 ]. P1 V! i% S$ W+ v; U- s
1 `$ d; G# K) S
雷诺应力扩散项的模式
( D* D7 ]# p' s4 Z/ U3 B# d
扩散项包括3阶矩和压强一脉动速度关联,一般情况,后者相对前者小得多,所以把其放在3阶项里一起处理。扩散项通常采用梯度形式封闭,简单的模型采用各向同性形式。3 v7 i2 l, l/ W8 Z$ }4 H. N
8378fc9f89d7fabc21925400d6d76272.gif
考虑各向异性还有其他推广形式。τij 是雷诺应力。模式常数Cs=0.11。
7 E0 k6 Q8 q2 O) @" y2 X
2阶矩模式的评价:

, X$ x; O( l; D" c1 v3 f
  • 包括了雷诺应力的发展过程,能很好的预测复杂湍流。  o0 b0 U- W% n. A' Y

    ( G2 J9 @* {7 E' D
    4 o& y3 u8 s& e9 f

. I( Q; R/ ?1 d% t
  • 近壁雷诺应力各向异性很强,各向同性的耗散模式有待改进。
    % P3 p6 i0 P( I0 P/ {1 [, N; _6 m! B6 f. d
    8 p; p# Z; l0 c, {- N

8 |  N1 g* ?) q2 t; u" P6 c* y: u5 k0 s
  • 2阶矩模式的不足之处在近壁湍流,强旋转湍流中尤其突出。1 s  `; g3 {/ o3 {- [& _1 S# H

    ; P4 _) p+ ~/ U! d6 Q* W- u& ?
    7 Z0 l, z5 r4 y( C

" \0 w/ R, Z$ J, \" o( }
) k3 ~1 C' u1 |$ J+ T& C
. x! N, n. @  _" o2 l: v
代数形式的2阶矩模式(ASM)

0 z! W1 h2 _' L9 }6 l7 C3 g雷诺应力输运局部平衡假定:不计雷诺应力质点导数,只有生成、耗散和再分配3项。Rodi提出代数应力模式 (ASM ),忽略雷诺应力沿平均轨迹的变化和扩散,得到雷诺应力的隐式代数方程。
: t+ o0 E; i8 o" m
28988210bda0b3ed5ce2c64d155a5a48.gif
代入各项得实用公式:
9420fcd352013edd652069d571cb48ea.gif
ASM模式是基于局部平衡假定。但ASM放弃了雷诺应力和平均切变率间各向同性的假定,因此在准平衡的三维定常湍流的预测要好一些,但在二维并没有多大优势。

, X* Y/ t, e1 U2 l1 g; [
: y$ p, g) k4 U2 \
关于湍流模式的综合评述

+ l% g" J5 H5 p) u1 D
湍流模式是目前预测复杂湍流的唯一工具。即使直接数值模拟复杂湍流成为现实,快速准确地预测湍流统计特性的模型仍受工程师们的欢迎。

( A& l+ ]! w. n  k
现有统计模式的致命缺点:没有一个模式能准确预测所有湍流。

& v2 t( f4 x; C, V# J
零方程模式可以很好地模拟附着边界层湍流,模式对自由剪切湍流、附着边界层湍流和适度分离湍流有较高的计算精度。
9 `* G, M& k" ~# I9 `9 r6 S8 C7 l
可能的两种改进:分区模式(流动分区计算技术和并行算法)和利用张量对湍流场进行分类。

- j0 G- o! o3 y
6eaf1b1fa9ac35d9affd981503da0b1e.png
关联阅读:湍流的产生及最新研究进展# P* |" `( U1 j

湍流的完全再层流化!9 e3 c2 A; V% U# g

万亿网格!恒星湍流!+ e% `& ^8 @$ T
湍流与涡流的区别2 S/ T' M! J# j9 P, @2 w  d) A
9eb86c50fd60cefd28cd089a12282af6.jpeg

声明:本微信转载文章出于非商业性的教育和科研目的,并不意味着支持其观点或证实其内容的真实性。版权归原作者所有,如转载稿涉及版权等问题,请立即联系我们,我们会予以更改或删除相关文章,保证您的权利!

- g! @) P4 `0 q
648b3d00fe456b783c9de7e31ce4b420.jpeg
回复

举报 使用道具

相关帖子

全部回帖
暂无回帖,快来参与回复吧
懒得打字?点击右侧快捷回复 【吾爱海洋论坛发文有奖】
您需要登录后才可以回帖 登录 | 立即注册
双绞线
活跃在2026-3-29
快速回复 返回顶部 返回列表